Como pasar de grados a Radianes.
El cálculo requerido para cambiar grados a radianes no es difícil. Sin embargo, el cálculo implica algunos trucos y el formato es importante. Usualmente no se escriben las medidas radian con valores decimales a menos que se haya multiplicado por el equivalente decimal para pi.
Para cambiar una medida en grados a radianes, comience con la proporción básica para las medidas de ángulo equivalentes:

Por ejemplo, así es como cambia una medida de 40 grados a radianes:
1-Ponga el 40 en lugar del primer numerador en la proporción.

2-Reduce la fracción de la izquierda.

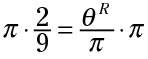
3-Multiplica cada lado de la proporción por pi.

Simplifica el trabajo.

Este ejemplo muestra que 40 grados es equivalente a

Dejas la medida del radián como una fracción reducida a los términos más bajos.
Vea otro ejemplo: cambie una medida de -36 grados a radianes.
1-Ponga el -36 en la proporción.

2-Reduce la fracción de la izquierda.

3-Multiplica cada lado de la proporción por pi.

4-Simplifica el trabajo.

Así que ya ves, -36 grados es equivalente a

Tener un ángulo negativo está bien. Dejas la expresión como una fracción; no lo cambie a una forma decimal.